Modern decision-making challenges often involve multiple conflicting objectives that must be simultaneously addressed rather than optimized in isolation. Unlike single-objective optimization, where a single global minimum or maximum is sought, multi-objective optimization (MOO) balances competing goals by identifying trade-offs among them. Rather than producing a unique solution, MOO yields a Pareto front of optimal compromises, empowering decision-makers to select from a continuum of best-fit solutions that reflect context-specific priorities.
In single-objective optimization, the focus rests on optimizing one measure of performance, often subject to constraints. By contrast, MOO considers several potentially conflicting objectives. Instead of a single best solution, MOO produces a Pareto front, capturing the principle that improving any one objective will inevitably compromise at least one other. This perspective highlights the necessity of balancing diverse objectives rather than maximizing a single metric in isolation.
Multi-objective optimization is broadly applicable across industry and research settings:
A defining feature of MOO is that enhancement in one objective may necessitate compromises in another. For instance, in product design, boosting durability often requires higher-grade, and therefore more expensive, materials. In algorithmic trading, strategies that promise higher returns typically carry greater risk. Effective multi-objective decision-making thus hinges on recognizing and prioritizing such trade-offs in alignment with overarching goals.
A solution is said to be Pareto-optimal if no objective can be improved without adversely affecting at least one other objective. The set of all such non-dominated solutions forms the Pareto front, serving as a powerful visual aid for analyzing compromises. Formally, a solution \(x^*\) is Pareto-optimal if there is no other \(x\) such that:
\begin{equation}
f_i(x) \;\leq\; f_i\bigl(x^*\bigr) \quad \text{for all } i,
\text{ with at least one strict inequality}.
\end{equation}
Decision-makers can examine the Pareto front to determine which specific blend of trade-offs best suits their operational constraints and organizational objectives.
A multi-objective optimization (MOO) problem involves the simultaneous minimization or maximization of multiple objectives:
\begin{equation}
\min_{x \in X} \quad F(x) = \bigl(f_1(x), f_2(x), \ldots, f_k(x)\bigr),
\end{equation}
where \( F(x) \) is a vector of \( k \) objective functions \( f_i(x) \), each mapping the decision space \( X \) to the objective space. In contrast to single-objective optimization, which yields a unique optimum, MOO problems typically result in a Pareto front where no single objective can be enhanced without worsening at least one other objective.
Feasibility is governed by a set of constraints:
\begin{equation}
g_j(x) \;\leq\; 0, \quad h_l(x) \;=\; 0,
\end{equation}
which may represent:
Such constraints define the feasible region, ensuring proposed solutions respect real-world limits (e.g., resource availability, regulatory caps). Since MOO rarely offers a single global solution, tools such as Pareto-based ranking, weighted sum approaches, or constraint-handling techniques help decision-makers explore and compare trade-offs. Ultimately, the chosen solution depends on domain-specific priorities, decision-maker preferences, and realistic feasibility.
Scholars and practitioners employ various methodologies to formulate the MOO problem, including:
Selecting an appropriate technique for solving MOO problems depends on problem structure, computational resources, and objective complexity. Common approaches include:
These solution techniques, when combined with robust data handling and domain insights, guide practitioners toward identifying and refining trade-offs that satisfy the organizational, technical, and market dimensions of multi-objective problems.
The goal is to formulate a coffee blend that meets specific sensory and analytical targets while controlling cost. Table 1 compares the attributes of three coffee types—Colombian Supremo, Vietnamese Robusta, and Kenyan AA—against desired values for aftertaste, bitterness, sweetness, polyphenols, pH level, and lipid content. Each bean also has a distinct cost per unit. The challenge lies in determining the proportions of each coffee that balance these competing factors, thereby producing an overall blend that aligns with both quality and economic objectives.
The final objective function \( Q \) integrates three key criteria—sensory deviation (\( S \)),
analytical deviation (\( AN \)), and cost per unit (\( C \)). Each component is
weighted by an importance scalar, reflecting different strategic goals:
\begin{equation}
\boxed{
Q(S, AN, C) = w_S \cdot S \;+\; w_{AN} \cdot AN \;+\; w_C \cdot C
}
\end{equation}

Table 1: Sensory and analytical properties of the three blend components and the target profile.
Let \(\mathcal{S} = \{\text{Aftertaste (AT)}, \text{Bitterness (BT)}, \text{Sweetness (SW)}\}\) be the set of sensory attributes of interest. We define a target value \(\tau_i^*\) for each \(i \in \mathcal{S}\). The corresponding model prediction is \(\tau_i(\mathbf{x})\), which depends on the blend proportions \(\mathbf{x} = (x_1, x_2, x_3)\). Under an additive assumption, \(\tau_i(\mathbf{x})\) is a linear combination of the coffee types:
\begin{equation}
\tau_i(\mathbf{x}) \;=\; \alpha_{i1}\,x_1 + \alpha_{i2}\,x_2 + \alpha_{i3}\,x_3,
\end{equation}
where \(\alpha_{ij}\) represents the contribution of attribute \(i\) from coffee \(j\) (\(j \in \{\text{Colombian Supremo}, \text{Vietnamese Robusta}, \\ \text{Kenyan AA}\}\)). The sensory deviation \( S \) is then:
\begin{equation}
S \;=\; \sum_{i \in \mathcal{S}} \Big( \tau_i(\mathbf{x}) – \tau_i^* \Big)^2.
\end{equation}
For example, if \(\mathcal{S} = \{\text{AT}, \text{BT}, \text{SW}\}\) and the target values are \(\{\text{AT}^* = 6, \text{BT}^* = 4, \text{SW}^* = 4\}\), we have:
\begin{align*}
\tau_{\text{AT}}(\mathbf{x}) = 6x_1 + 4x_2 + 7x_3, \quad
\tau_{\text{BT}}(\mathbf{x}) = 4x_1 + 6x_2 + 3x_3, \quad
\tau_{\text{SW}}(\mathbf{x}) = 3x_1 + 2x_2 + 5x_3.
\end{align*}
Similarly, let \(\mathcal{A} = \{\text{Polyphenols (PP)}, \text{Acidity / alkalinity level (pH)}, \text{Lipid Content (LIP)}\}\) be the set of analytical attributes. Each attribute \(a \in \mathcal{A}\) has a target value \(a^*\) and a predicted value \(a(\mathbf{x})\). The analytical deviation \( AN \) is:
\begin{equation}
AN \;=\; \sum_{a \in \mathcal{A}} \Big( a(\mathbf{x}) – a^* \Big)^2.
\end{equation}
As an example,
\[
\tau_{\text{PP}}(\mathbf{x}) = 2.2\,x_1 + 3.0\,x_2 + 4.1\,x_3, \quad
\tau_{\text{pH}}(\mathbf{x}) = 5.0\,x_1 + 4.8\,x_2 + 5.3\,x_3, \quad
\tau_{\text{LIP}}(\mathbf{x}) = 0.15\,x_1 + 0.20\,x_2 + 0.12\,x_3
\]
To incorporate economic considerations, we define a cost function \(C(\mathbf{x})\):
\begin{equation}
C(\mathbf{x}) \;=\; c_1\,x_1 + c_2\,x_2 + c_3\,x_3,
\end{equation}
where \(c_j\) is the unit cost associated with coffee \(j\).
Combining these components into a weighted sum framework yields:
\begin{alignat}{2}
\textbf{Minimize} \quad
& Q\bigl(\mathbf{x}\bigr)
= \underbrace{w_S \sum_{i \in \mathcal{S}} \bigl(\tau_i(\mathbf{x}) – \tau_i^*\bigr)^2 }_{\text{Sensory}}
\;+\; \underbrace{w_{AN} \sum_{a \in \mathcal{A}} \bigl(a(\mathbf{x}) – a^*\bigr)^2}_{\text{Analytical}}
\;+\;\underbrace{w_C \sum_{j=1}^{n} c_{i}x_{i}}_{\text{Cost}} \notag \\[6pt]
\textbf{subject to} \quad
& \sum_{j=1}^{3} x_j \;=\; 1, \notag \\
& 0 \;\leq\; x_j \;\leq\; 1, \quad j \in \{1,2,3\}.
\end{alignat}
Substituting all the input numbers and writing the optimization program explicitly:
\begin{alignat}{2}
\textbf{Minimize} \quad & Q(\mathbf{x}) =
w_S \Big[ \bigl(6x_1 + 4x_2 + 7x_3 – 6\bigr)^2 \;+\; \bigl(4x_1 + 6x_2 + 3x_3 – 4\bigr)^2
\;+\; \bigl(3x_1 + 2x_2 + 5x_3 – 4\bigr)^2 \Big] \notag \\[6pt]
&\quad +\, w_{AN} \Big[ \bigl(2.2x_1 + 3.0x_2 + 4.1x_3 – 3.0\bigr)^2
\;+\; \bigl(5.0x_1 + 4.8x_2 + 5.3x_3 – 5.1\bigr)^2
\; \notag \\[6pt]
&\quad +\, \bigl(0.15x_1 + 0.20x_2 + 0.12x_3 – 0.18\bigr)^2 \Big] \notag \\[6pt]
&\quad +w_C \Bigl(6x_1 + 2x_2 + 5x_3\Bigr), \notag \\[4pt]
\textbf{subject to:} \quad
&x_1 + x_2 + x_3 = 1, \notag \\
&0 \,\leq\, x_i \,\leq\, 1, \quad i \in \{1,2,3\}.
\end{alignat}
This comprehensive and flexible framework enables the integration of additional or alternative attributes by expanding the sets \(\mathcal{S}\) or \(\mathcal{A}\). By adjusting the weights \(w_S\), \(w_{AN}\), and \(w_C\), decision-makers can place greater emphasis on sensory, analytical, or economic objectives, thus aligning the solution with strategic goals and market demands.
When the sum of proportions equals 1, an analytical solution is obtainable via the
method of Lagrange multipliers. Introducing a Lagrange multiplier \( \lambda \):
\begin{equation}
\mathcal{L}(x_1, x_2, x_3, \lambda)
= Q(S, AN, C) \;-\; \lambda \left( \sum_{i=1}^{3} x_i – 1 \right).
\end{equation}
Setting
\[
\frac{\partial \mathcal{L}}{\partial x_i} = 0
\quad \text{and} \quad
\frac{\partial \mathcal{L}}{\partial \lambda} = 0
\]
for \( x_1, x_2, x_3, \lambda \) provides closed-form expressions (assuming polynomial or
similarly tractable objectives and constraints). In practical terms, this approach can guide blend decisions without resorting solely to numerical solvers.
In multi-objective optimization, balancing sensory quality, analytical composition, and cost constraints can markedly influence the optimal coffee blend formulation. The subsections below examine how varying objective weights or introducing cost limitations reshapes the solution space.
When cost considerations are excluded, the objective function emphasizes only sensory and analytical attributes. Mathematically, this is represented by:

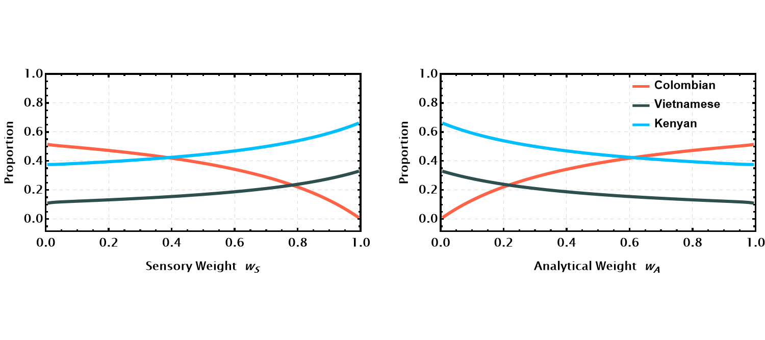
Figure 1: Bean distribution as a function of sensory and analytical weight \( w_{S}, w_{AN} \)
Introducing a cost constraint reshapes the feasible region by restricting more expensive beans. In particular, imposing:
\[
4.1x_1 + 3.1x_2 + 2.6x_3 \leq 5
\]
steers the formulation toward lower-cost blends.

Figure 2: Bean allocation under a cost constraint as a function of the sensory weight \( w_{S}\).

Figure 3: Bean allocation under a cost constraint as a function of the analytical weight \(w_{AN} \).

Figure 4: Quality scores as a function of bean selection, with and without cost constraints.
Hence, cost considerations underscore critical trade-offs such as flavor excellence vs.\ cost efficiency and analytical precision vs.\ economic feasibility. The final solution must reconcile these competing factors in light of market strategy, customer preferences, and operational constraints.
Organizations must align optimization priorities with overarching strategic goals. Sensitivity analysis is integral to this process, as it gauges how variations in parameters (e.g., cost limits, target attributes, or blending ratios) affect the resulting solutions. Monte Carlo simulations, gradient-based sensitivity methods, and Multi-Criteria Decision Analysis (MCDA) frameworks (e.g., the Analytic Hierarchy Process) can all provide systematic guidance in determining weight assignments. These approaches enhance robustness by revealing how the optimal blend responds to fluctuations in external conditions or changing objectives.
Recent advances in AI-driven methods offer dynamic optimization strategies capable of adapting to evolving production environments and consumer demands. Concurrently, quantum computing demonstrates potential for tackling high-dimensional multi-objective optimization problems, promising exponential speed-ups relative to classical algorithms if key scalability hurdles can be surmounted.
Large-scale multi-objective optimization frequently requires parallel computing and sophisticated heuristic or metaheuristic algorithms to mitigate computational demands. Uncertainty remains a further challenge: robust and stochastic optimization models address variations in market dynamics, resource availability, or quality-control metrics by explicitly accommodating parameter fluctuations.
In modern decision-making contexts, multi-objective optimization enables a structured assessment of trade-offs among diverse objectives such as flavor, cost, and analytical attributes. By leveraging models that reflect both quantitative data and organizational priorities, stakeholders can develop solutions aligned with consumer preferences and financial constraints. As AI, quantum computing, and advanced metaheuristic techniques evolve, multi-objective optimization will remain a pivotal methodology for addressing the complexities of real-world problems.
This will close in 20 seconds
This will close in 0 seconds